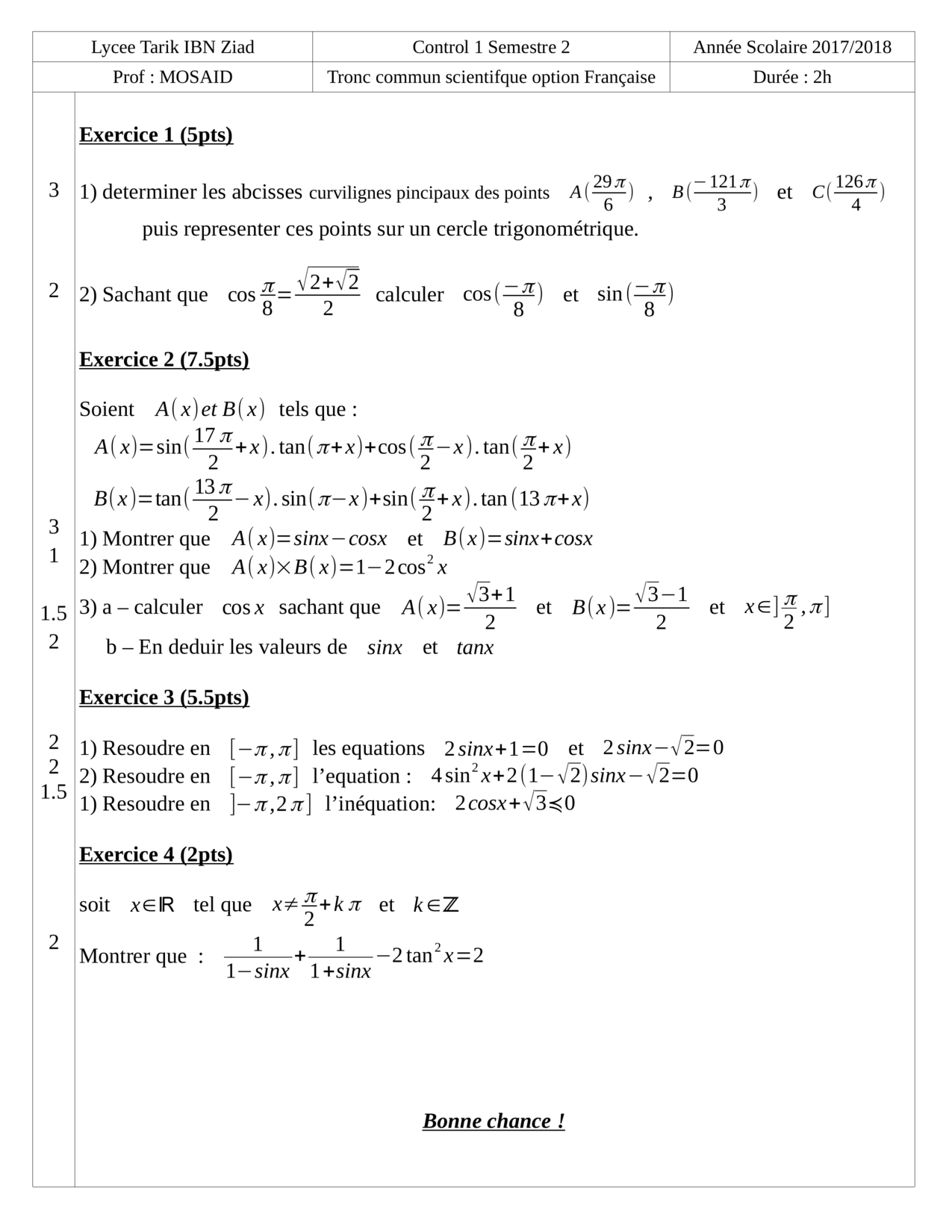
Devoir Surveillé 1 Calcul Trigonométrique
📅 April 10, 2023 | 👁️ Views: 879

Related Courses, Exams, and Exercises
- Control 01 Semester 02 en Trigonometrie (A) Exam
- Control 01 Semester 02 en Trigonometrie (B) Exam
- Control 01 Semester 02 en Trigonometrie (C) Exam
- Control 01 Semester 02 en Trigonometrie (D) Exam
- Devoir à la maison 1 Calcul Trigonométrique Exam
- Devoir Libre 1 S02 Calcul Trigonométrique Exam
- Devoir Surveillé 1 S02 Calcul Trigonométrique A - B Exam
- Devoir Surveillé 1 S02 Calcul Trigonométrique C - D Exam
- Devoir Surveillé 1 S02 Calcul Trigonométrique E - F Exam
- Série exercices: Calcul Trigonométrique Exercise
- الحساب المثلثي 2 نسخة 2 المعادلات والمتراجحات Course
- الحساب المثلثي 2 نسخة 2 Course
- الحساب المثلثي 2 Course
- سلسلة رقم 1 تمارين الحساب المثلثي 2 Exercise
Exam PDF:
Recent Articles

Quran Search: A Feature rich and modern design
13 Feb 2025
Categories