Visits : 1.05K
Choisir une Année Scolaire
Physics Statistics
Cours les Plus Récents de Physics
Physique Chimie 1BAC, Cours et exercices d’applications
2023-03-03 | Views: 307 | 1 Bac Science
Cours Les Plus Consultés - Physics
Physique Chimie 1BAC, Cours et exercices d’applications
2023-03-03 | Views : 307 | 1 Bac Science
📄 Need LaTeX formatting?
Send me your homework, exam, or exercise content and I’ll turn it into a professional PDF.
Learn more →Recent Courses
Devoir 02, S02, Généralités sur les fonction 2026
25 Apr 2026, 1 views
Exam • Maths • Tronc Commun Sciences
Série Exercices : Calcul intégral et Géométrie dans l’espace
16 Apr 2026, 275 views
Exercise • Maths • 2 Bac Science
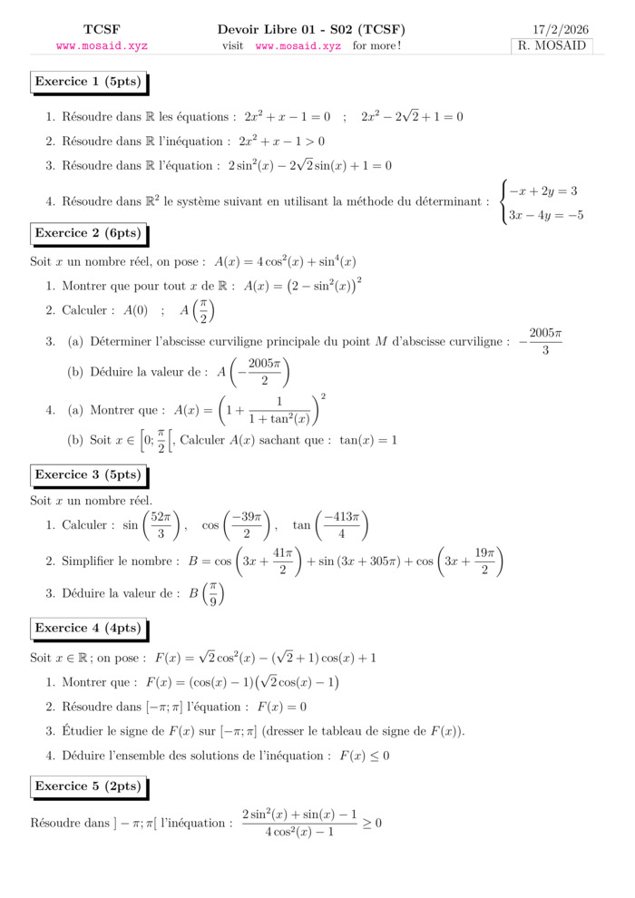
Devoir 02 S02, Trigonométrie et généralités sur les fonctions
12 Apr 2026, 118 views
Exam • Maths • Tronc Commun Sciences
Most Viewed Courses
Tous les sujets des suites numériques des examens nationaux 2008 - 2022
Views: 2.64K
Exam • Maths • 2 Bac Science
MATHEMATIQUES Examens nationaux 2003-2021 2 Bac.Sciences expérimentales
Views: 1.80K
Exam • Maths • 2 Bac Science
Control 01 S01 En arithmétiques et Calcul vectoriel - A 2025-2026
Views: 1.80K
Exam • Maths • Tronc Commun Sciences
DM 1 - Arithmetiques, Calcul vectoriel et projection
Views: 1.75K
Exam • Maths • Tronc Commun Sciences
Recent Articles
Boosting LaTeX Editing with Custom Vim Mappings
23 Nov 2025
Most Viewed Articles
The Ultimate Vim Setup (My 2024 vimrc ) : Essential Commands, Configurations, and Plugin Tips
Views: 1.18K
12 Apr 2024
Complete Tutorial: Creating Categories and Subcategories Using Pages in Pelican
Views: 930
24 Jun 2025