Devoir 03, S01

📅 January 14, 2026   |   👁️ Views: 457   |   📝 2 exercises   |   ❓ 14 questions



📘 About this Exam ✨ Generated with LaTeX Exam Generator

📄 What you'll find on this page:

• The Exam PDF is embedded below — you can read and scroll through it directly without leaving the page.

• A direct download button is available at the bottom for offline access.

• You'll also discover related exams, courses, and exercises tailored to the same subject and level.

• This exam contains 2 exercises and 14 questions.

• The complete LaTeX source code is included below for learning or customization.

• Generated using my LaTeX Exam Generator — a flexible tool for building structured academic documents effortlessly.

Need your own materials professionally formatted? I offer a LaTeX typesetting service — send me your content and get a clean PDF + source file at a symbolic price.

📄 ماذا ستجد في هذه الصفحة:

• ملف الامتحان بصيغة PDF معروض أدناه — يمكنك تصفحه والاطلاع عليه مباشرة دون الحاجة لتحميله.

• يتوفر زر تحميل مباشر في أسفل الصفحة للاحتفاظ بالملف على جهازك.

• ستجد أيضًا مجموعة من الامتحانات والدروس والتمارين المرتبطة بنفس الدرس لتعزيز فهمك.

• هذا الامتحان يحتوي على 2 تمارين و 14 سؤالاً.

• تم تضمين الكود الكامل بلغة LaTeX أسفل الصفحة لمن يرغب في التعديل عليه أو التعلم منه واستخدامه.

• تم إنشاء هذا المحتوى باستخدام مولد امتحانات LaTeX — أداة قوية تساعدك على إنشاء مستندات تعليمية احترافية بسهولة.

هل تحتاج تنسيقًا احترافيًا لموادك الخاصة؟ أقدم خدمة كتابة LaTeX — أرسل محتواك واحصل على PDF نظيف وملف مصدر بسعر رمزي.

maths Exam for 2-bac-science PDF preview

This PDF covers maths exam for 2-bac-science students. It includes 2 exercises and 14 questions. Designed to help you master the topic efficiently.

Votre navigateur ne supporte pas les PDFs. Voir le Lien de Téléchargement au dessous.

Your browser cannot display PDFs. Download the PDF instead.

💬 Leave A Comment     أترك تعليقا
    

\documentclass[a4paper, 12pt]{exam}

\usepackage[left=1.50cm, right=1.00cm, top=1cm, bottom=1.50cm]{geometry}

\usepackage[utf8]{inputenc}
\usepackage{fontspec}
\usepackage{amsmath, amsfonts, amssymb, amsthm}
\usepackage{graphicx}
\usepackage{xcolor}
\usepackage{multicol}
\usepackage{enumitem}
\usepackage{mathrsfs}
\usepackage{colortbl}
\usepackage{varwidth}
\usepackage[most]{tcolorbox}


\tcbuselibrary{skins,breakable}
\usepackage{tikz}
\usetikzlibrary{calc}
\usetikzlibrary{shadows}
\usepackage{tabularx, array, booktabs}
\usepackage{setspace}
\usepackage{hyperref}
\hypersetup{
    colorlinks=true,
    urlcolor=magenta
}



% French language support
\usepackage[french]{babel}

% Bottom message in Arabic requires bidi package
\usepackage{bidi}
\newfontfamily\arabicfont[Script=Arabic,Scale=1.1]{Amiri}

% Two-page layout (conditionally included)



% --- Colors ---
\definecolor{maroon}{cmyk}{0,0.87,0.68,0.32}
\definecolor{pBlue}{RGB}{102, 53, 153}

\definecolor{myblue}{HTML}{1D2A6E}
\definecolor{myred}{HTML}{A97E77}
\definecolor{mybrown}{HTML}{B35823}
\definecolor{gold}{HTML}{B48920}
\definecolor{myorange}{HTML}{ED8C2B}
\definecolor{col}{RGB}{45, 136, 119}
\definecolor{MainRed}{rgb}{.8, .1, .1}
\definecolor{winered}{rgb}{0.5,0,0}
\definecolor{JungleGreen}{HTML}{29AB87}

\definecolor{myblue3}{RGB}{36, 57, 126}
\definecolor{mygray}{RGB}{112,121,139}
\definecolor{LemonGlacier}{RGB}{253,255,0}
\colorlet{myblue3}{red!75!black}

\definecolor{lightgray}{gray}{0.6}
\definecolor{arrowblue}{RGB}{0,140,180}
\definecolor{bannerblue}{RGB}{210,240,240}

% --- Basic Settings ---
% Language variables for French exams
\def\professor{R. MOSAID}  % Should be R. MOSAID not {{R. MOSAID}}
\def\classname{2BAC.PC/SVT}
\def\examtitle{Devoir 01 - S01 (2BAC.PC/SVT) Par Pr. MOHAMED JOUAHRI}
\def\schoolname{Lycée Qualifiant Taghzirt}
\def\academicyear{2025/2026}
\def\subject{Mathématiques}
\def\duration{2h}
\def\secondtitle{\small{visit ~~\wsite~~ for more!}}
\def\province{Direction provinciale\newline de Beni Mellal}
\def\logo{\includegraphics[width=\linewidth]{images/logo-men.png}}
\def\wsite{\href{https://www.mosaid.xyz}{\textcolor{magenta}{\texttt{www.mosaid.xyz}}}}
\def\ddate{\hfill \number\day/\number\month/\number\year~~}


% Exam-specific settings and custom definitions
% This file is generated in the current working directory
% Edit this file to customize your exam settings

% Custom labels
\renewcommand{\thequestion}{\Roman{question}}
\renewcommand{\thepartno}{\arabic{partno}}
\renewcommand{\thesubpart}{\alph{subpart}}

% Define column type for centered cells
\newcolumntype{Y}{>{\centering\arraybackslash}X}
\newcolumntype{M}[1]{@{}>{\centering\arraybackslash}m{\#1}@{}}

\newcommand{\tb}{\tikz[baseline=-0.6ex]{\fill (0,0) circle (2pt);}~}

\newcommand{\ccc}[1]{
    \begin{tikzpicture}[overlay, remember picture]
        \node[circle, inner sep=3pt, draw=black, outer sep=0pt] at (0.5,0.2) {\#1};
    \end{tikzpicture}
}


\newcommand{\circled}[1]{%
  \tikz[baseline=(char.base)]{
    \node[shape=circle,draw,inner sep=1pt, font=\bf] (char) {\#1};}%
}


% --- Margin offsets for note placement ---
\def\rnotemargin{-1.5}   % distance from right edge of text block
\def\lnotemargin{0.5}   % distance from left edge of text block


% --- Note number placed 1cm from page edge (right margin) ---
\newcommand{\rnote}[1]{%
  \tikz[remember picture,overlay,baseline=(text.base)]{%
    % a tiny anchor at the current line baseline
    \node (text) at (0,0) {};%
    % coordinate 1cm left of the physical page right edge
    \coordinate (marg) at ($(current page.east)+(\rnotemargin,0)$);%
    % place the marker using x from 'marg' and y from 'text.base'
    \node[anchor=base west,
      font=\scriptsize\bfseries,
      fill=yellow!30,
      draw=black,
      circle,
      minimum size=14pt,
      inner sep=1pt
    ] at (marg |- text.base) {$#1$};%
  }%
}

% --- Note number placed 1cm from page edge (left margin) ---
\newcommand{\note}[1]{%
  \tikz[remember picture,overlay,baseline=(text.base)]{%
    % a tiny anchor at the current line baseline
    \node (text) at (0,0) {};%
    % coordinate 1cm left of the physical page right edge
    \coordinate (marg) at ($(current page.west)+(\lnotemargin,0)$);%
    % place the marker using x from 'marg' and y from 'text.base'
    \node[anchor=base west,
      font=\scriptsize\bfseries,
      fill=yellow!30,
      draw=black,
      circle,
      minimum size=14pt,
      inner sep=1pt
    ] at (marg |- text.base) {$#1$};%
  }%
}




% Document spacing
\setstretch{1.3}

% Math display style
\everymath{\displaystyle}

%\mathversion{bold}

%\AtBeginDocument{\fontsize{15}{17}\selectfont}

%\newcommand{\fff}[1]{\makebox[#1cm]{\dotfill}}

\newcommand{\dfp}[1]{\dotfill (\bf{\#1 pt})}

\SetEnumitemKey{tight}{
    leftmargin=*,
    itemsep=0pt,
    topsep=0pt,
    parsep=0pt,
    partopsep=0pt,
    before=\vspace{-2pt},   % reduce space before
    after=\vspace{-2pt}     % reduce space after
}

\newcommand{\VMargin}[1]{%
  \begin{tikzpicture}[remember picture,overlay]
    \draw[line width=1pt]
      ([xshift=#1]current page.north west) --
      ([xshift=#1]current page.south west);
  \end{tikzpicture}%
}

\newcommand{\VMarginRight}[1]{%
  \begin{tikzpicture}[remember picture,overlay]
    \draw[line width=0.6pt]
      ([xshift=-#1]current page.north east) --
      ([xshift=-#1]current page.south east);
  \end{tikzpicture}%
}



% Custom theorem environments (uncomment if needed)
% \newtheorem{theorem}{Theorem}
% \newtheorem{lemma}{Lemma}
% \newtheorem{corollary}{Corollary}

% Custom exercise environments (uncomment if needed)
% \newenvironment{solution}{\begin{proof}[Solution]}{\end{proof}}
% \newenvironment{remark}{\begin{proof}[Remark]}{\end{proof}}

% Custom commands for this exam (add your own below)
% \newcommand{\answerline}[1]{\underline{\hspace{\#1}}}
% \newcommand{\points}[1]{\hfill(\mbox{\#1 points})}

% Additional packages (uncomment if needed)
% \usepackage{siunitx} % For SI units
% \usepackage{chemformula} % For chemical formulas
% \usepackage{circuitikz} % For circuit diagrams

% Page layout adjustments
% \setlength{\parindent}{0pt}
% \setlength{\parskip}{1em}

% Custom colors for this exam
% \definecolor{myblue}{RGB}{0,100,200}
% \definecolor{mygreen}{RGB}{0,150,0}

% ----------------------------------------------------------------------
% ADD YOUR CUSTOM DEFINITIONS BELOW THIS LINE
% ----------------------------------------------------------------------

% Example:
\newcommand{\dif}{\mathrm{d}}
\newcommand{\R}{\mathbb{R}}
\newcommand{\N}{\mathbb{N}}
\newcommand{\Z}{\mathbb{Z}}
\newcommand{\Q}{\mathbb{Q}}
\newcommand{\C}{\mathbb{C}}

% Exam settings
\pointsinmargin
\pointname{}
\pointformat{\textcolor{red}{\circled{\thepoints}}}
\colorfillwithdottedlines
\definecolor{FillWithDottedLinesColor}{gray}{0.7}
\unframedsolutions
\renewcommand{\solutiontitle}{\noindent\textbf{\textcolor{green!70!black}{Solution}}\enspace}
\SolutionEmphasis{\itshape\small}
\SolutionEmphasis{\color{red}}

% Exercise Theme 1: TikZ shadow title
\newcommand{\exothemeone}[1]{%
\par\vspace{0pt}\noindent\leavevmode
\begin{tikzpicture}[baseline=(text.base)]
    \node[] (text) at (0,0) {\textbf{\#1}};
    \fill[black] ([xshift=0.1cm, yshift=-0.1cm]text.south west)
                 rectangle ([xshift=0.1cm, yshift=-0.1cm]text.north east);
    \draw[fill=white] (text.south west) rectangle (text.north east);
    \node[] at (text) {\textbf{\#1}};
\end{tikzpicture}\\[0.2cm]
}

\newcommand{\printexo}[3]{%
  \if\relax\detokenize{\#2}\relax
    \def\fulltitle{Exercice #1}%
  \else
    \def\fulltitle{Exercice #1~#2}%
  \fi
  \exothemeone{\fulltitle}%
  \noindent #3%
  \vspace{0.2cm}%
}

% --- Exam Header Style 5 (fr)   ---
\newcommand{\shadowhead}{%
  \noindent
  \begin{tikzpicture}
    \node[
      fill=white,
      draw=black,
      rounded corners=2pt,
      inner sep=6pt,
      drop shadow,
      every shadow/.append style={
        fill=black,
        opacity=0.7,
        shadow xshift=3pt,
        shadow yshift=-3pt
      }
    ]{%
      \centering
        \begin{tabular}{M{0.16\textwidth} M{0.60\textwidth} M{0.16\textwidth}}
          \schoolname & \textbf{\examtitle} & \textit{\professor} \\[0.3em]
          \academicyear & \secondtitle & \classname
        \end{tabular}
    };
  \end{tikzpicture}
  \par
}




\begin{document}


\noindent\shadowhead

% Exercise 1 (originally 1)
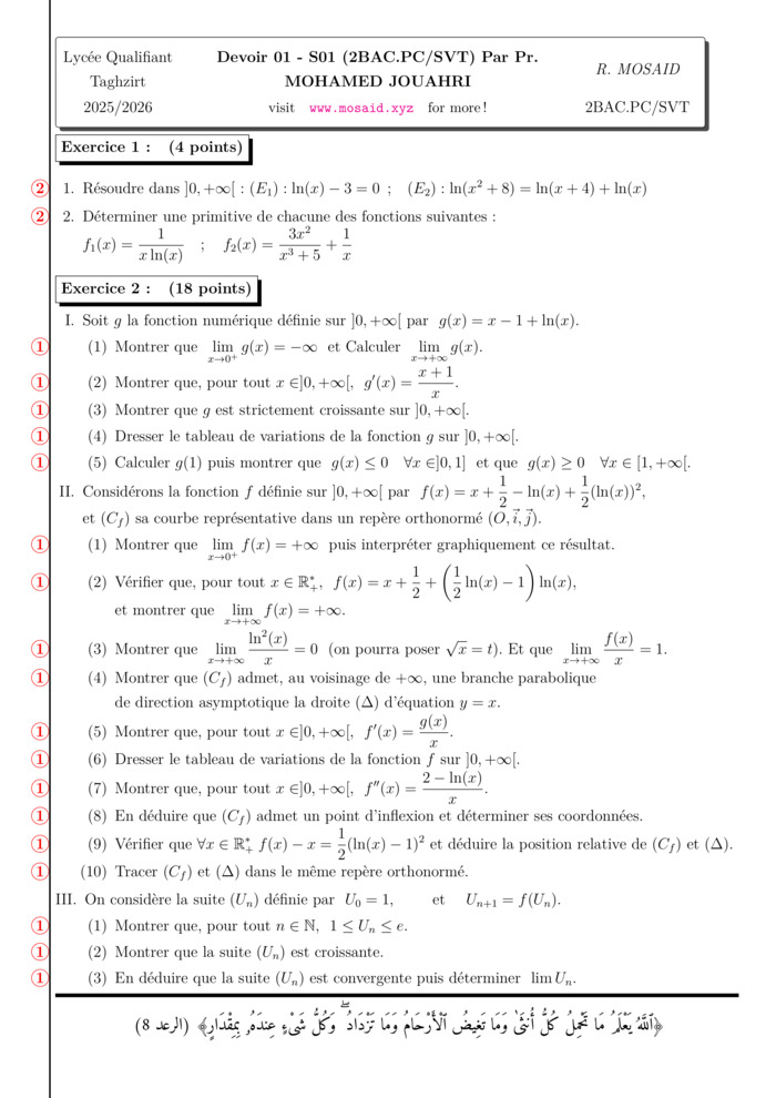
\printexo{1}{: ~ (4 points)}{
{
\renewcommand{\thequestion}{\arabic{question}}
\vspace*{-0.5cm}
\begin{questions}
  \question[2] Résoudre dans $]0, +\infty[$ :
             $(E_1): \ln(x) - 3 = 0$ \quad ;\quad
             $(E_2): \ln(x^2 + 8) = \ln(x + 4) + \ln(x)$
    \question[2] Déterminer une primitive de chacune des fonctions suivantes :\\
        ~\(
        f_1(x) = \frac{1}{x \ln(x)} \quad ; \quad f_2(x) = \frac{3x^2}{x^3 + 5} + \frac{1}{x}
        \)~
\end{questions}
}
}

% Exercise 2 (originally 2)
\printexo{2}{: ~ (18 points)}{
\vspace*{-0.75cm}
\begin{questions}

% ===================== QUESTION 1 =====================
\question
Soit $g$ la fonction numérique définie sur $]0,+\infty[$ par
~\(
g(x)=x-1+\ln(x).
\)~

\begin{parts}
\part[1]
Montrer que
~\(
\lim_{x\to0^+} g(x)=-\infty
\)~
et Calculer
~\(
\lim_{x\to+\infty} g(x).
\)~

\part[1]
Montrer que, pour tout $x\in]0,+\infty[$,
~\(
g'(x)=\frac{x+1}{x}.
\)~

\part[1]
Montrer que $g$ est strictement croissante sur $]0,+\infty[$.

\part[1]
Dresser le tableau de variations de la fonction $g$ sur $]0,+\infty[$.

\part[1]
Calculer $g(1)$ puis montrer que
~\(
g(x)\le 0 \quad \forall x\in]0,1]
\)~
et que
~\(
g(x)\ge 0 \quad \forall x\in[1,+\infty[.
\)~
\end{parts}

% ===================== QUESTION 2 =====================
\question
Considérons la fonction $f$ définie sur $]0,+\infty[$ par
~\(
f(x)=x+\frac12-\ln(x)+\frac12(\ln(x))^2,
\)~\\
et $(C_f)$ sa courbe représentative dans un repère orthonormé $(O,\vec{i},\vec{j})$.

\begin{parts}
\part[1]
Montrer que
~\(
\lim_{x\to0^+} f(x)=+\infty
\)~
puis interpréter graphiquement ce résultat.

\part[1]
Vérifier que, pour tout $x\in\mathbb{R}_+^*$,
~\(
f(x)=x+\frac12+\left(\frac12\ln(x)-1\right)\ln(x),
\)~\\
et montrer que
~\(
\lim_{x\to+\infty} f(x)=+\infty.
\)~

\part[1]
Montrer que
~\(
\lim_{x\to+\infty}\frac{\ln^2(x)}{x}=0
\)~
(on pourra poser $\sqrt{x} = t$). Et que
~\(
\lim_{x\to+\infty}\frac{f(x)}{x}=1.
\)~

\part[1]
Montrer que $(C_f)$ admet, au voisinage de $+\infty$, une branche parabolique\\
de direction asymptotique la droite $(\Delta)$ d’équation $y=x$.

\part[1]
Montrer que, pour tout $x\in]0,+\infty[$,
~\(
f'(x)=\frac{g(x)}{x}.
\)~

\part[1]
Dresser le tableau de variations de la fonction $f$ sur $]0,+\infty[$.

\part[1]
Montrer que, pour tout $x\in]0,+\infty[$,
~\(
f''(x)=\frac{2-\ln(x)}{x}.
\)~

\part[1]
En déduire que $(C_f)$ admet un point d’inflexion et déterminer ses coordonnées.

\part[1]
Vérifier que
\(
\forall x\in\R^*_+\;
f(x)-x=\frac12(\ln(x)-1)^2
\)
et déduire la position relative de $(C_f)$ et $(\Delta)$.

\part[1]
Tracer $(C_f)$ et $(\Delta)$ dans le même repère orthonormé.
\end{parts}

% ===================== QUESTION 3 =====================
\question
On considère la suite $(U_n)$ définie par
~\(
U_0=1, \qquad~\text{et}~\quad  U_{n+1}=f(U_n).
\)~

\begin{parts}
\part[1]
Montrer que, pour tout $n\in\mathbb{N}$,
~\(
1\le U_n\le e.
\)~

\part[1]
Montrer que la suite $(U_n)$ est croissante.

\part[1]
En déduire que la suite $(U_n)$ est convergente puis déterminer
~\(
\lim U_n.
\)~
\end{parts}

\end{questions}

\VMargin{1.35cm}
}






% Bottom message
\vspace*{-1cm}
\begin{center}
  \normalsize{%
    \vskip 2pt \hrule height 3pt \vskip 2pt
    \RL{\arabicfont
    ﴿ٱللَّهُ يَعْلَمُ مَا تَحْمِلُ كُلُّ أُنثَىٰ وَمَا تَغِيضُ ٱلْأَرْحَامُ وَمَا تَزْدَادُ ۖ وَكُلُّ شَىْءٍ عِندَهُۥ بِمِقْدَارٍ﴾ (الرعد 8)
    }%
  }%
\end{center}

\end{document}


    
📂 This document is part of the maths 2-bac-science collection — view all related lessons, exams, and exercises.
Get your own materials formatted with LaTeX

Explore more maths content for 2-bac-science:

Related Courses, Exams, and Exercises


Frequently Asked Questions

What chapters or courses does this exam cover?
This exam covers: نهاية متتالية عددية, الدوال الأصلية, الدوال اللوغاريتمية, Fonctions Logarithmes. It is designed to test understanding of these topics.

How many questions are in this exam?
The exam contains approximately 14 questions.

Is this exam aligned with the official curriculum?
Yes, it follows the 2-bac-science maths guidelines.

What topics are covered in this course?
The course "Fonctions Logarithmiques" covers key concepts of maths for 2-bac-science. Designed to help students master the curriculum.

Is this course suitable for beginners?
Yes, the material is structured to be accessible while providing depth for advanced learners.

Are there exercises or practice problems?
This resource includes 2 exercise(s) to reinforce learning.

Does this course include solutions?
Solutions are available separately.


Download maths Exam PDF (2-bac-science)

📥 Download Devoir 03, S01 (PDF)

Leave a comment